موقع سطور
الرئيسية
الاخبار
الاساتذة
الصفوف
السادس العلمي
السادس الأدبي
الخامس العلمي
الخامس الأدبي
الثالث المتوسط
الرابع العلمي
الرابع الأدبي
السادس الابتدائي
الثاني المتوسط
الأول المتوسط
الخامس الابتدائي
الرابع الابتدائي
الثالث الابتدائي
الثاني الابتدائي
الأول الابتدائي
الاسئلة الوزارية
النتائج
الحدود الدنيا للسنوات السابقة
اختبارات
عن الموقع
اتصل بنا
الرئيسية
الاسئلة الوزارية
-
سنة: 2007 - الدور الاول
- - الفصل الرابع
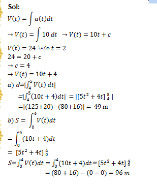
س/جسم يتحرك على خط مستقيم بتعجيل ثابت مقداره𝟏𝟎 𝐦 𝐬𝟐⁄ وبعد2ثانيةمن بدء الحركة اصبحت سرعته𝟐𝟒 𝐦 𝐬⁄جد المسافة المقطوعة في الثانيةالخامسة ثم بعده بعد مضي4ثوانيمن بدء الحركة
الاجابة
السؤال السابق
السؤال التالي