موقع سطور
الرئيسية
الاخبار
الاساتذة
الصفوف
السادس العلمي
السادس الأدبي
الخامس العلمي
الخامس الأدبي
الثالث المتوسط
الرابع العلمي
الرابع الأدبي
السادس الابتدائي
الثاني المتوسط
الأول المتوسط
الخامس الابتدائي
الرابع الابتدائي
الثالث الابتدائي
الثاني الابتدائي
الأول الابتدائي
الاسئلة الوزارية
النتائج
الحدود الدنيا للسنوات السابقة
اختبارات
عن الموقع
اتصل بنا
الرئيسية
الاسئلة الوزارية
-
سنة: 2004 - الدور الثاني
- - الفصل الرابع
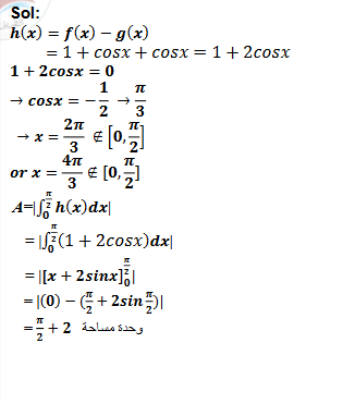
س/ جد المساحة المحددة بمنحني الدالتينy=𝟏 + 𝒄𝒐𝒔𝒙, y=−𝒄𝒐𝒔𝒙بالفترة[𝟎, 𝝅/𝟐]
الاجابة
السؤال السابق
السؤال التالي